Semisentez veya kısmi kimyasal sentez, farklı kimyasal ve tıbbi özelliklere sahip yeni bileşikler üretmek için başlangıç malzemeleri olarak doğal kaynaklardan (mikrobiyal hücre kültürleri veya bitki materyali gibi) izole edilen kimyasal bileşikleri kullanan bir tür kimyasal sentezdir.
Yeni
bileşikler genellikle basit başlangıç malzemelerinden toplam sentez yoluyla
üretilenlerden daha yüksek bir moleküler ağırlığa veya karmaşık bir moleküler
yapıya sahiptir. Semisentez, daha az kimyasal adım gerekli olduğundan birçok
ilacı toplam senteze göre daha ucuza hazırlamanın bir yoludur.
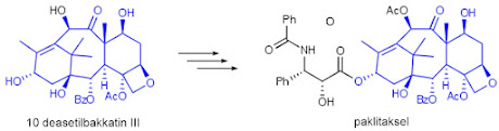
Paklitakselin semisentezi;
izole edilmiş 10-deasetilbakkatin III'ten başlayarak, paklitakselin gerekli yan
zincirinin ve asetil grubunun kısa bir dizi adımla kurulumu.
https://en.wikipedia.org/wiki/Semisynthesis
23 Ağustos 2023
