Bir kromatografik kolonun verimi, içerdiği teorik tepsi
sayısı ile belirlenir. Burada herhangi bir ayırma işleminde, bir kolondaki
tepsilerin sayısı ile gerekli zaman arasındaki ilişki anlatılacaktır.
Şekil-5’de verilmiş olan kromatogramda zaman eksenindeki
sıfır, örneğin kolona injekte edildiği ve sıyırma işleminin başladığı anı
gösterir. tM ‘de çıkan pik, kolon dolgu maddesi tarafından
tutulmayan maddeye (çoğunlukla hava) aittir; bu maddenin hareket hızı,
hareketli fazdaki örnek moleküllerinin ortalama hızı ile aynidir. Alıkonma
zamanı tR (örnek pikine aittir), maddenin kolonun sonundaki
detektöre ulaşması için gerekli zamanı gösterir.
Maddenin ortalama göç etme hızı v aşağıdaki denklemle
verilir.
Benzer şekilde moleküllerin hareketli fazdaki ortalama hızı
u,
Maddenin göç etme hızı ayni zamanda hareketli fazın hızına
göre de tarif edilebilir, buna göre, v
= u (maddenin hareketli fazda
bulunduğu zamanın kesri).
Bu kesir herhangi bir anda maddenin hareketli fazda bulunan
mol sayısına (ortalama), kolondaki toplam mol sayısına bölünmesiyle bulunur.
Yani,
Burada CM ve CS, hareketli ve sabit
fazlardaki madde konsantrasyonları, VM ve VS iki fazın
kolondaki toplam hacimleridir. Denklem(1) ‘deki eşitlik yukarıdaki ifade ile
birleştirilerek aşağıdaki eşitlikler bulunur.
k ‘kapasite faktörüdür ve maddenin dağıtma katsayısı ile ilişkilidir.
Denklem (9), (10) ve (11)'den tR çıkarılır.
Buna göre bir maddenin alıkonma zamanı tR, maddenin dağıtma katsayısı ve fazların hacimleri arasındaki oran ile artar.
Denklem(13) yeniden düzenlenerek, deneysel parametreler olan
tR ve tM den, bir maddenin kapasite faktörü k’ 'nün
hesaplanabileceği bir denklem bulunur.
2.
Kolon Resolusyonu (Ayırma Gücü)
Kromatografideki en önemli konu bir kolonun iki maddeyi
birbirinden ayırabilme özelliğidir. Bir kolonun kantitatif anlamdaki ayırma
gücü, "rezolusyon" terimi ile tarif edilir ve RS ile
gösterilir.
WA ve WB piklerin taban
genişlikleridir ve birimleri zamandır. DZ
maddelerin detektöre ulaşma zamanları arasındaki farkı gösterir (Şekil-8). İki
pikin genişlikleri W ile gösterilirse
denklem(15) aşağıdaki şekilde basitleşir.
Birbirine yakın çıkan piklerde WX ve WY‘de
birbirine yakın değerlerde olurlar; bu durumda tek bir değerin ölçülmesi
yeterlidir.
Şekil-8 'de iki maddenin bulunduğu bir karışımın üç ayrı
rezolusyonda alınan kromatogramları görülmektedir. RS = 1.5 ’da A ve
B maddeleri birbirlerinden tam olarak ayrılmışlardır. RS = 0.75 'de
ise ayırma yapılamamıştır. RS = 1.0 değerindeki uygulamada A
maddesinde % 4 kadar B maddesi ve B ’de de % 4 kadar A maddesi kalmıştır;
rezolusyonun 1.5 olduğu durumda bu karışma % 0.3 kadardır. Aynı kolon dolgu
maddesi ile rezolusyonun yükseltilmesi için kolon boyu uzatılır; dolayısıyla
teorik tepsi sayısı artırılmış olur.
Bir kromatografik kolonun bazı özellikleri ile RS
arasında çeşitli ilişkiler bulunabilir. Aşağıdaki örnekte bu ilişkilerin nasıl
çıkarılabileceği gösterilmiştir.
Şekil-8:
Üç ayrı ayırma gücü için kromatogramlar; RS = 2 DZ /
(WA + WB)
RS ile (tR)A ve (tR)B
arasında bir ilişki çıkarılması; son iki terim Şekil-8'deki kromatogramdan
ölçülen alıkonma zamanlarıdır. Daha önce de belirtildiği gibi,
alınabilir. Bu durumda denklem(15) aşağıdaki gibi yazılır.
Denklem(7), WY yi
(tR)X ve N cinsinden vermektedir. Buna göre
Denklem (13)'deki tR nin yukardaki ifade ile
birleştirilmesiyle, RS değeri X ve Y nin kapasite faktörleri ile
tanımlanmış olur.
k’B / k’A terimine "seçicilik faktörü" denir ve a ile gösterilir.
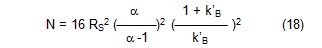
En uygun rezolusyonu bulmak için gerekli teorik tepsi sayısı
hesaplanmalıdır. Bunun için de denklem(17) yeniden düzenlenerek elde edilen
aşağıdaki eşitlik kullanılır.
Seçicilik Faktörünün
(a)
Özellikleri: Denklem(17) ve (18)in uygulamalarına geçmeden seçicilik
faktörü a nın özelliklerini bilmek
yararlı olacaktır. Bu değer Şekil-8’de görüldüğü gibi bir kromatogramdan doğru
olarak bulunabilir.a değeri denklem(14)
ün denklem(17)’de yerine konmasıyla ve sonra da denklem(12) nin denklem(16)’da
yerine konmasıyla iki farklı şekilde ifade edilebilir.
Rezolusyon ve Ayırma
Zamanı: Denklem(17) ve (18)'de, önemli bir performans özelliği olan, tam
bir ayırma için gerekli olan zaman yoktur. Bu önemli değişkenin de rezolusyon
ile ilişkisini sağlamak için denklem (19) dan, önce daha yavaş hareket eden maddenin (B) hızı bulunur.
Sonra bu bağıntı denklem(11) ve (12) ile birleştirilerek (tR)B
çıkarılır
Burada (tR)B, hareketli fazın hızı u
olduğunda B nin çıkması için gerekli zamanı gösterir. Bu eşitlik denklem(18)
ile birleştirilerek (tR)B için rezolusyon (RS)
ile ilişkili aşağıdaki denklem elde edilir.
3.
Kolon Performansının Optimizasyonu
Denklem(17) ve (21), kolon kromatografisinde çok önemlidir;
uygun rezolusyon derecesini sağlayacak koşulların seçiminde bu iki denklemden
yararlanılır. Denklemler üçer kısımdan oluşmuşlardır. Birinci terimler kolonun
veya H cinsinden
verimini tanımlar. İkinci terimlerde a
katsayısı vardır ve secicilik terimidir; bu terim örnekteki iki maddenin sadece
özelliklerine bağlıdır. Denklemlerdeki üçüncü terimler kapasite terimleridir,
k’B faktörünü içerirler ve hem maddenin ve hem de kolonun
özelliklerine bağlıdır.
Kolon Verimi: Denklem(17)'de
görüldüğü gibi rezolusyon, kolondaki tepsi sayılarının kare kökü ile
orantılıdır. iyi bir ayırma yapabilmek için tepsi sayısı artırılabilir. Bu
durumda H değerinin küçültülüp kolon boyunun da uzatılmasıyla ayırma işlemi
için gerekli zamanın uzamaması sağlanabilir. Daha önce anlatılan hız teorisinde
(2. kısım) verimin en yüksek, H ın ise en düşük olmasını sağlayan değişkenler
tanımlanmıştır.
Kapasite Faktöründeki
Değişme: Bir maddenin kapasite faktörü k’B , hareketli veya
sabit fazların bileşimlerinin değiştirilmesiyle farklı değerler alır. Hareketli
fazın bileşiminin değiştirilmesi kolaydır ve bir ayırma işleminin optimize
edilmesinde çoğunlukla uygulanan bir yöntemdir. Denklem(12)'ye göre k’B
değeri, sabit fazın hareketli faza oranının değiştirilmesiyle de artırılabilir
veya azaltılabilir. Sabit fazı oluşturan malzemenin tanecik boyutlarının
küçültülmesi de k’B değerini artırır, çünkü yüzey alanı artar ve
dolayısıyla VS büyür. k’B nin artması rezolusyonu (RS)
artırır, fakat pikin çıkma zamanını ([tr]B)uzatır. Bu iki etkiyi
daha iyi anlayabilmek için, Denklem(17) ve (21) aşağıdaki şekilde yazılabilir.
Burada, denklem(17) ve (21)'deki ilk ikişer terim Q ve Q’
harfleri ile gösterilmiştir. RS/Q ve (tR)B /
Q’ değerleri k’B ‘nin fonksiyonu olarak grafiğe alındığında,
Şekil-9'daki gibi iki eğri elde edilir; Q ve Q’ nun sabit kaldığı
varsayılmıştır. k’B değerinin 10'dan daha büyük olması istenmez,
çünkü bu değerin üstünde, şekilde de görüldüğü gibi rezolusyondaki artışın çok
az olmasına karşın ayırma zamanındaki uzama fazladır. Maddenin ayrıldığı en
kısa zaman süresi k’B 'nin 2-3 arasında olduğu bölgedir. k’nin
optimum değeri; çoğunlukla 2 - 5 arasındadır.
Şekil-9:
Kapasite faktörü k’y ‘nin çıkma zamanı (tR)y
‘ye etkisi, k’ nün değişiminde Q ve Q’ nün sabit olduğu kabul edilmiştir
Seçicilik
Faktöründeki Değişme: Denklem(17) 'ye göre, seçicilik faktörü büyüdükçe
rezolusyon da artar. Bu parametrenin 2 'den büyük olması halinde en kısa
zamanda iyi bir ayırma yapılabilir. Diğer taraftan, a nın 1 'e yaklaşması durumunda çok uzun bir kolon kullanılmazsa
rezolusyon kaybolur. Denklem(21)'de görüldüğü gibi 1 'e yakın değerlerinde
ayırma zamanı anormal derecede uzar. Örneğin,
a 'nın 1.1 değerine karşılık 1.01 olması durumunda ayni rezolusyon için
gerekli zaman 84 kat daha fazla olur.
30.0 cm 'lik bir kolonda A ve B maddelerin alıkonma süreleri
sırasıyla 16.40 ve 17.63 dakikadır. Tutulmayan kısımlar kolondan 1.30 dakikada
çıkmaktadır. Pik genişlikleri 1.11 ve 1.21 mm olduğuna göre aşağıdaki ; (a)
kolon rezolusyonunu, (b) kolondaki ortalama tepsi sayısını, (c) tepsi
yüksekliğini, (d) rezolusyonun 1.5 olması için gerekli kolon uzunluğunu, ve (e)
uzun kolonda B maddesinin çıkması için gerekli zamanı hesaplayınız.
(a) Kolon rezolusyonu (RS) denklem (15)'den
hesaplanır.
(b) Ortalama tepsi sayısı denklem(7)'den bulunur.
(c) Tepsi yüksekliğinde, denklem(3) ve (4)'den çıkarılan H =
L/N eşitliği kullanılır.
(d) N ve L nin artması ile k’ ve a değişmez. Denklem(18) N1 ve N2 cinsinden
yazılır ve iki denklem birbirin bölünerek N1/N2 bulunur.
Burada (1) ve (2) orijinal ve daha uzun kolonları gösterir.
N1, (RS)1 ve (RS)2 'nin
değerleri yerlerine konularak N2 hesaplanır.
(e) Denklem(21) den (t R)1 /(tR)2
eşitliği bulunur.
Kromatografide kullanılan terimler, miktarlar ve bunların
birbirleri ile olan ilişkileri çok ve oldukça karmaşıktır. Tablo-2'de bazı
tanımların özeti verilmiştir.
Tablo-2: Önemli
Kromatografik Değerler ve İlişkilerin Özeti






























